网站首页  词典首页


请输入您要查询的字词:

 

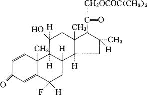
字词 匹伐酸氟可龙
类别 中英文字词句释义及详细解析
释义 匹伐酸氟可龙

C27H37FO5=460.59

CAS-29205-06-9

6α-氟-11β,21-二羟-16α-甲基孕甾-1,4-二烯-3,20-二酮21-匹伐酸酯。

6α-Fluoro-11β,21-dihydroxy-16α-methylpregna-1,4-diene-3,20-dione 21-pivalate.

肾上腺皮质激素类药,消炎药。

Fluocortolone Pivalate,Plastoderm.

INN(Fluocortolone).

随便看

 

离鸟网收录3541549条中英文词条,其功能与新华字典、现代汉语词典、牛津高阶英汉词典等各类中英文词典类似,基本涵盖了全部常用中英文字词句的读音、释义及用法,是语言学习和写作的有利工具。

 

Copyright © 2004-2024 vtrois.com All Rights Reserved
更新时间:2026/4/7 6:47:28