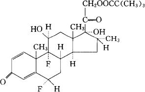
匹伐酸氟米松
C27H36F2O6=494.57 CAS-2002-29-1 CAS-2135-17-3(flumethasone) (6α,11β,16α)-21-(2,2-二甲基-1-氧代丙氧)-6,9-二氟-11,17-二羟-16-甲基-孕甾-1,4-二烯-3,20-二酮。 (6α,11β,16α)-21-(2,2-Dimethyl-1-oxopropoxy)-6,9-difluoro-11,17-dihydroxy-16-methylpregna-1,4-diene-3,20-dione. 6α,9-二氟-11β,17,21-三羟-16α-甲基孕甾-1,4-二烯-3,20-二酮21-匹伐酸酯。 6α,9-Difluoro-11β,17,21-trihydroxy-16α-methylpregna-1,4-diene-3,20-dione 21-pivalate. 肾上腺皮质激素类药。 匹伐酸二氟米松。 Plumethasone Pivalate,NSC-107680,Locorten, Lorinden. BAN,USAN,USP. 
|