匹可硫酸钠
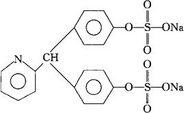
C18H13NNa2O8S2=481.40 CAS-10040-45-6 CAS-10040-34-3(picosulfuric acid) 4,4′-(2-吡啶亚甲基)二酚双(硫酸氢)二钠盐。 4,4′-(2-Pyridylmethylene)diphenol bis(hydrogen sulfate)disoidium salt. 导泻药。用于治疗便秘及外科手术,分娩的结肠排空。 匹可速发。 Picosulfate Sodium,Sodium Picosulfate,Guttalax,Laxidogol,Laxoberal,Picolax,Trali,LA 391,DA 1773. INN,USAN,MI.  |