网站首页  词典首页


请输入您要查询的字词:

 

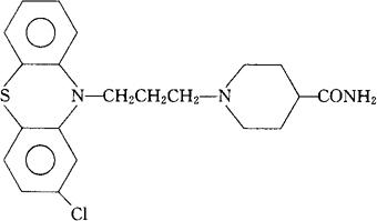
字词 匹哌马嗪
类别 中英文字词句释义及详细解析
释义 匹哌马嗪

C21H24ClN3OS=401.95

CAS-84-04-8

10-[3-(4-氨基甲酰哌啶基)丙基]-2-氯吩噻嗪。

10-[3-(4-Carbamoyl-piperidino)propyl]-2-chlorophenothiazine.

1-[3-(2-氯-10H-吩噻嗪-10-基)丙基]-4-哌啶羧酰胺。

1-[3-(2-Chloro-10H-phenothiazin-10-yl)propyl]-4-piperidinecarboxaminde.

1-[3-(2-氯吩噻嗪-10-基)丙基]异哌啶羧酰胺。

1-[3-(2-Chlorophenothiazin-10-yl)propyl]isonipecotamide.

镇吐药,安定药。

Pipamazine,Mornidine,Nausidol,Nometine.

INN,BAN,USAN,MI.

随便看

 

离鸟网收录3541549条中英文词条,其功能与新华字典、现代汉语词典、牛津高阶英汉词典等各类中英文词典类似,基本涵盖了全部常用中英文字词句的读音、释义及用法,是语言学习和写作的有利工具。

 

Copyright © 2004-2024 vtrois.com All Rights Reserved
更新时间:2026/4/6 17:02:43