匹罗西林
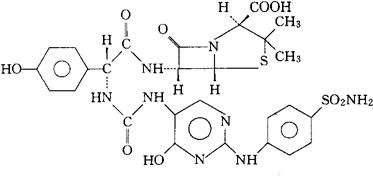
C27H28N8O9S2=672.69 CAS-82509-56-6 (2S,5R,6R)-6-[(R)-2-(对-羟基苯基)-2-[3-[4-羟-2-(对-氨磺酰苯胺基)-5-嘧啶基]脲基]乙酰胺基]-3,3-二甲基-7-氧代-4-噻-1-氮杂双环[3.2.0]庚烷-2-羧酸。 (2S,5R,6R)-6-[(R)-2-(p-Hydroxyphenyl)-2-[3-[4-hydroxy-2-(p-sulfamoylanilino)-5-pyrimidinyl]ureido]acetamido]-3,3-dimethyl-7-oxo-4-thia-1-azabicyclo[3.2.0]heptane-2-carboxylic acid. 2-[3-[2-(对-氨基磺酰)苯胺基-4-羟-5-嘧啶基]脲基]-2-(4-羟苯基)乙酰胺青霉烷酸。 2-[3-[2-(p-Aminosulfonyl)anilino-4-hydroxy-5-pyrimidinyl]ureido]-2-(4-hydroxyphenyl)acetamide penicillanic acid. 抗生素类药。 Piroxicillin. INN,USAN.  |