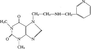
匹美茶碱
C15H18N6O2=314.35 CAS-10001-43-1 7-[2-[(3-吡啶甲基)氨基]乙基]茶碱。 7-[2-[(3-Pyridylmethyl)amino]ethyl]theophylline. 3,7-二氢-1,3-二甲基-7-[2-[(3-吡啶甲基)氨基]乙基]-1H-嘌呤-2,6-二酮。 3,7-Dihydro-1,3-dimethyl-7-[2-[(3-pyridinylmethyl)amino]ethyl]-1H-purine-2,6-dione. 血管扩张药,冠脉扩张药,肌肉松弛药。 吡胺乙茶碱。 Fimefylline,ES 771. INN,USAN.  |