网站首页  词典首页


请输入您要查询的字词:

 

字词 十一点法
类别 中英文字词句释义及详细解析
释义 十一点法

态度测量的方法之一,又称为琴斯顿(chinston)量表。

这种方法国外广泛用于测量个人对民族、战争、犯罪、教会等问题的态度。衡量态度的尺度定为1-11,其中1与11为两种极端的正负态度,6为中性,是无所谓态度。

十一点法测定态度,也运用问卷法。在一般情况下,每次问卷只测量人们对某一事物的态度。主试在制定问卷量表时,要仔细筛选每个小题,并根据大量的抽样调查拟订每题应得的态度分数,使问卷中的每个小题都代表了人们对该事物不同等级的态度。测验时,要求每个被试拿到问卷后,仔细看、认真想,把自己认为赞成的题上打上钩(√),然后把打钩题目的分数加起来,求出平均数,以了解个体(或群体)对此问题的态度。

下面是琴斯顿制订的一个态度量表,用来测量人们对教会的态度。

(1)我相信成为教会会员是生活的基本要素。(1.0)

(2)我相信做礼拜能使人得到身心安宁。(1.5)

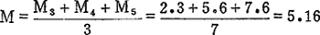
(3)教会的教训能保持精神健康。(2.3)

(4)有时相信教会存在是有价值的,但有时则怀疑之。(5.6)

(5)我认为教会阻碍社会进步。

(7.6)

(6)我认为教会是依赖魔术迷信而存在。(9.6)

假如一个人认为赞成量表中的第3、第4、第5题等得分为:

可见,这个人倾向于信教,但态度并不坚决。

此外,在制定量表时,应随机安排各小题的顺序,也不要在量表中说明每一小题的分数。

随便看

 

离鸟网收录3541549条中英文词条,其功能与新华字典、现代汉语词典、牛津高阶英汉词典等各类中英文词典类似,基本涵盖了全部常用中英文字词句的读音、释义及用法,是语言学习和写作的有利工具。

 

Copyright © 2004-2024 vtrois.com All Rights Reserved
更新时间:2026/4/6 16:37:56