网站首页  词典首页


请输入您要查询的字词:

 

字词 协积回归德宾-森沃检验
类别 中英文字词句释义及详细解析
释义 协积回归德宾-森沃检验

残差et非平稳的假设检验可用两种方法进行。

第一种是对回归残差序列进行Dickey-fuller检验。另一种,我们可用协整回归的Durbin-Watson统计量进行。

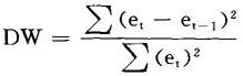
回忆Durbin-Watson统计量公式:

如果et是随机游走,则(et-et-1)的数学期望为0,所以Durbin-Watson统计量应接近于0。

这样,只要检验DW=0的假设。下表给出了观察个数为100,该检验的临界值。例如,如果在运行了协整回归后,我们得到一个DW的数值为0.71,则将在1%显著性水平上拒绝不可协整的假设。

检验DW=0的临界值

随便看

 

离鸟网收录3541549条中英文词条,其功能与新华字典、现代汉语词典、牛津高阶英汉词典等各类中英文词典类似,基本涵盖了全部常用中英文字词句的读音、释义及用法,是语言学习和写作的有利工具。

 

Copyright © 2004-2024 vtrois.com All Rights Reserved
更新时间:2026/5/26 3:35:53