网站首页  词典首页


请输入您要查询的字词:

 

字词 单位制在物理计算中的应用
类别 中英文字词句释义及详细解析
释义 单位制在物理计算中的应用

在物理计算中,如果已知量都用同一单位制中的单位表示时,计算的结果也必然是用这个单位制中的单位来表示.因此,解题时只统一了已知量的单位,就没有必要在式子中写出每个物理量的单位,只在式子末尾写出所求量的单位就可以了.另外由于物理公式确定了物理量的单位关系,如果某个物理表达式等号两侧的单位不相同,则该表达式一定是错误的.

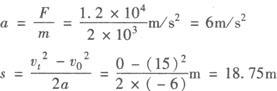
例 一辆质量是2t的货车,在水平公路上以54km/h的速度匀速行驶,司机因故突然紧急刹车,已知刹车后货车所受制动力为1.2×104N,求货车从刹车开始到停下来驶过的路程?

分析 货车的受力情况是已知的,需要分析求解它的运动情况,先根据牛顿第二定律求加速度,然后用运动学公式求位移,注意,采用国际单位制解题时,若已知量不是国际单位制中的单位,要先把它们化成国际单位制中的单位,然后再代入有关公式进行计算.

为了说明国际单位制在物理计算中的作用,先按基本要求,各量逐一代入单位计算如下:

解 已知m=2t=2×103kg,制动力的大小F=1.2×104N,初速度v0=54km/h=.货车刹车后加速度的大小为,刹车后货车做匀减速直线运动,末速度vt=0,加速度应取负值,即a=—6m/s2,由运动学公式:,可求得刹车到停下来驶过的路程为18.75m.

由上述计算过程可以看出,由于已知量的单位都用国际单位制的单位表示,结果所求量的单位也是用国际单位制来表示的,因此在统一已知量的单位后,就不必一一写出各量的单位,只在数字后面正确写出所求量的国际单位就可以了.

上面的计算可简化为:

随便看

 

离鸟网收录3541549条中英文词条,其功能与新华字典、现代汉语词典、牛津高阶英汉词典等各类中英文词典类似,基本涵盖了全部常用中英文字词句的读音、释义及用法,是语言学习和写作的有利工具。

 

Copyright © 2004-2024 vtrois.com All Rights Reserved
更新时间:2026/4/6 19:28:00