单摆周期公式的理解
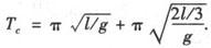
1.等效摆长l:摆长l是指摆动圆弧的圆心到摆球重心的距离,而不一定为摆线的长. 例 图中各摆球可视为质点,各段绳长均为l,图(a)、(b)中摆球做垂直纸面的小角度摆动,(c)图中摆球在纸面内做小角度摆动,O′为垂直纸面的钉,而且OO′=l/3,求各摆的周期.  (a)  (b)  (c) (1)(a)图中等效摆长l=l·sinα,  (2)(b)图中等效摆长L=l·sinα+l  (3)(c)图中,摆线摆到竖直位置时,摆球做圆周运动的圆心就由O变为O′,摆球振动时,半个周期摆长为l,另半个周期摆长为(l l,则摆球c的周期为  2.等效重力加速度:g不一定等于9.8m/s2. (1)周期公式中g由单摆所在空间位置决定,由 知,g随地球表面不同位置、不同高度而变化,而且纬度越低,摆球离地面高度越大,g值越小,另外在不同星球上g也不同. (2)g还由单摆系统的运动状态决定.如单摆处在向上加速的升降机中,设加速度为a,则摆球处于超重状态,沿圆弧的切向分力变大,则重力加速度的等效值g′=(g+a),若升降机加速下降,则g′=(g—a).单摆若在轨道上运行的卫星内,摆球完全失重,回复力为零,等效值g′=0,摆球不摆动了,周期为无穷大.一般来说,g′值等于摆球相对于加速系统静止在平衡位置时,摆球所受的张力与摆球质量的比值. |