单纯随机抽样母体平均数估计
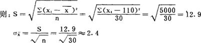
指在单纯随机抽样调查中,利用样本平均数对整个母体平均值所在区域进行的估计。 一般地,母体平均值所在区域估计为:  式中: 表示样本平均数;Z表示在一定可信水平下查表得到的值; 表示样本平均数误差系数;u表示母体平均值。 例:某企业对其产品的5000个用户平均每月支出额情况进行调查,从中抽出30个用户作为样本,,求得这30个用户的月平均支出为110元;∑(x1-x)2=∑(x1-110)2=5000。 按已知条件, ,n=30  现假设要求可信水平为95%。查表得Z=1.96,则母体平均值在下面区域: 110-1.96×2.4≤u≤110+1.96×2.4 即 105.30≤u≤114.7 就是说,如果30个样本用户的月平均支出为110元的话,则有95%的把握保证母体平均值(即5000个用户的月平均支出)在105.3元到114.7元之间。 |