网站首页  词典首页


请输入您要查询的字词:

 

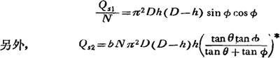
字词 单螺杆进料段的挤出量(固体输送)
类别 中英文字词句释义及详细解析
释义 单螺杆进料段的挤出量(固体输送)

简化方程式假设物料与螺杆之间的摩擦系数为0:

式中:

θ=固态料栓的前进角(通常为10~25°)

增大物料与螺杆的摩擦,并减小物料与机筒的摩擦,则挤出量将下降。

随便看

 

离鸟网收录3541549条中英文词条,其功能与新华字典、现代汉语词典、牛津高阶英汉词典等各类中英文词典类似,基本涵盖了全部常用中英文字词句的读音、释义及用法,是语言学习和写作的有利工具。

 

Copyright © 2004-2024 vtrois.com All Rights Reserved
更新时间:2026/5/25 9:50:10