卖报童模型
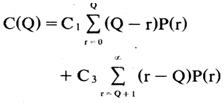
适用于不确定的离散型需求量,而且需求的是消费具有时效性的商品物资(如节日应景商品、易腐变质食品等)的随机采购决策模型。 典型的例子是报童每天到邮局订报,订多了卖不出去的就要赔钱,订少了不够卖,就少赚钱,相当于缺货损失,这个报童应订多少份报最合理呢?属于这类性质的采购决策问题就叫卖报童问题。设模型参数:r为日需求量;P(r)为需求量为r的概率;C1为供过于求的边际损失,相当于保管费;C3为求过于供,少赚的钱,相当于缺货费。库存总费用为两项费用之和,即:  将上式差分并令其等于零,求出Q的最优值。令△C-(Q)=C(Q+1)-C(Q)=0,Q*值应满足下式,即F ,其中 。 F(Q)*称为订货量的临界值,与接近于它而略大于它的那个累计概率所对应的需求量即为最佳订货批量。P(r)值有时直接给出,如:P(r1),P(r2),……,P(rn);有时P(r)值是服从某种理论分布,如普阿松分布等。 |