网站首页  词典首页


请输入您要查询的字词:

 

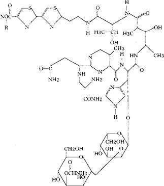
字词 博来霉素
类别 中英文字词句释义及详细解析
释义 博来霉素

CAS-11056-06-7

系混合物[主要成分争光霉素A2中R为(CH3)2S+CH2CH2CH2-].

抗肿瘤抗生素药。

用于上皮细胞癌、恶性淋巴癌、颈部鳞癌及皮癣等。

博来霉素。

Bleomycin,Blenoxane,SC-125066.

INN,BAN,DCF,IP,JAN,JP,USAN,USP,MI.

[Main Component Bleomycin A2,in which R is(CH3)2S+CH2CH2CH2-]

随便看

 

离鸟网收录3541549条中英文词条,其功能与新华字典、现代汉语词典、牛津高阶英汉词典等各类中英文词典类似,基本涵盖了全部常用中英文字词句的读音、释义及用法,是语言学习和写作的有利工具。

 

Copyright © 2004-2024 vtrois.com All Rights Reserved
更新时间:2026/4/7 2:40:39