网站首页  词典首页


请输入您要查询的字词:

 

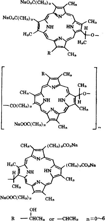
字词 卟吩姆钠
类别 中英文字词句释义及详细解析
释义 卟吩姆钠

CAS-87806-31-3

含酯和醚键的1178~4659道尔顿聚卟啉低聚物。

1178-4659 Daltons polyporphrin oligomer containing ester and ether linkage.

光卟啉Ⅱ。

Photofrin Ⅱ.

抗肿瘤药,光敏感药。

Porfimer Sodium,Photofrin,Cl 184,116.

INN,USAN.

随便看

 

离鸟网收录3541549条中英文词条,其功能与新华字典、现代汉语词典、牛津高阶英汉词典等各类中英文词典类似,基本涵盖了全部常用中英文字词句的读音、释义及用法,是语言学习和写作的有利工具。

 

Copyright © 2004-2024 vtrois.com All Rights Reserved
更新时间:2026/5/26 12:14:59