占替贝特
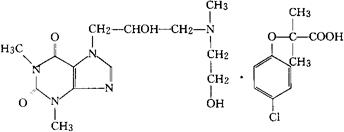
C13H21N5O4·C10H11ClO3=525.99 CAS-36921-54-7 CAS-882-09-7(clocibric acid) 7-[2-羟-3-[(2羟乙基)甲氨基]丙基]茶碱与2-(对-氯苯氧)-2-甲基丙酸(1∶1)的化合物。 7-[2-Hydroxy-3-[(2-hydroxyethyl)methylamino]propyl]theophylline compouud with 2-(p-chlorophenoxy)-2-methylpropionic acid(1∶1). 降血脂药。 Xantifibrate. INN,USAN. 
|