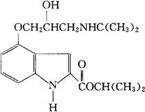
卡吲洛尔
C19H28N2O4=348.44 CAS-39731-05-0 (±)-4-[3-(叔-丁氨基)-2-羟丙氧基]吲哚-2-羧酸异丙酯。 Isopropyl(±)-4-[3-(test-butylamino)-2-hydroxypropoxy]indole-2-carboxylate. (±)-1-甲基-4-[3-[(1,1-二甲基乙基)氨]-2-羟基丙氧]-1H-1-吲哚-2-羧酸酯。 (±)-1-Methyl-4-[3-[(1,1-dimethylethl)amino]-2-hydrooxypropoxy]-1H-indole-2-carboxylate. β-受体阻滞药。用于治疗心肌梗塞疾病。 卡平洛尔,卡品多罗。 Carpindolol. INN,USAN.  |