网站首页  词典首页


请输入您要查询的字词:

 

字词 卡巴斯丁
类别 中英文字词句释义及详细解析
释义 卡巴斯丁

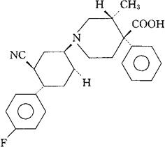
C26H29FN2O2=420.53

CAS-79449-98-2

(±)-反式-1-[顺式-4-氰基-4-(对-氟苯基)环己基]-3-甲基-4-苯基异哌啶甲酸。

(±)-trans-1-[cis-4-Cyano-4-(p-fluorophenyl)cyclohexyl]-3-mettyl-4-phenylisonipecotic acid.

1-[4-氰基-4-(4-氟苯基)环己基]-3-甲基-4-苯基-4-哌啶羧酸。

1-[4-Cyano-4-(4-fluorophenyl)cyclohexyl]-3-methyl-4-phenyl-4-peperidinecarboxylic acid.

抗组胺药。

Cabastine.

INN,USAN.

随便看

 

离鸟网收录3541549条中英文词条,其功能与新华字典、现代汉语词典、牛津高阶英汉词典等各类中英文词典类似,基本涵盖了全部常用中英文字词句的读音、释义及用法,是语言学习和写作的有利工具。

 

Copyright © 2004-2024 vtrois.com All Rights Reserved
更新时间:2026/4/9 14:19:05