网站首页  词典首页


请输入您要查询的字词:

 

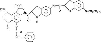
字词 卡折来辛
类别 中英文字词句释义及详细解析
释义 卡折来辛

C41H37ClN6O5=729.23

CAS-119813-10-4

(S)-N-[2-[[1-(氯甲基)-1,6-二氢-8-甲基-5-[[(苯胺基)羰基]氧]苯并[1,2-b∶3-b′]二吡咯-3(2H)-基]羰基]-1H-吲哚-5-基]-6-(二乙氨基)-2-苯并呋喃甲酰胺。

( S )-N-[ 2-LC l-( Chloromethyl )-l, 6-dihydro-8-methyl- 5-T T ( phenylamino ) carbonyl ]oxy J benzo [ 1 > -2-b : 3-b']dipyrrol-3(2H)-yl]carbony!]-lH-indol-5-yll-6-(diethylamino)-2-benzofurancarboxamide.

N-[2-[[(S)-1-(氯甲基)-1,6-二氢-5-羟-8-甲基苯并[1,2-b∶4,3-b′]二吡咯-3(2H)-基]羰基]-1H-吲哚-5-基]-6-(二乙氨基)-2-苯并呋喃甲酰胺苯氨基甲酸酯。

N-[2-[[(S)-1-(Chloromethyl)-1,6-dihydro-5-hydroxy-8-methylbenzo[1,2-b∶4,3-b′]dipyrrol-3(2H)-yl]carbonyl]-1H-indol-5-yl]6-(diethylamino)-2-benzofurancarboxamide carbanilate(ester).

抗肿瘤药。

Carzelesin,U-80244.

USAN.

随便看

 

离鸟网收录3541549条中英文词条,其功能与新华字典、现代汉语词典、牛津高阶英汉词典等各类中英文词典类似,基本涵盖了全部常用中英文字词句的读音、释义及用法,是语言学习和写作的有利工具。

 

Copyright © 2004-2024 vtrois.com All Rights Reserved
更新时间:2026/4/8 9:45:01