网站首页  词典首页


请输入您要查询的字词:

 

字词 卡拉洛尔
类别 中英文字词句释义及详细解析
释义 卡拉洛尔

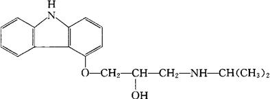
C18H22N2O2=298.38

CAS-57775-29-8

1-(咔唑-4-基氧)-3-(异丙氨基)-2-丙醇。

1-(Carbazol-4-yloxy)-3-(isopropylamino)-2-propanol.

β-受体阻滞药。

Carazolol,BM 51052.

INN,BAN,USAN.

随便看

 

离鸟网收录3541549条中英文词条,其功能与新华字典、现代汉语词典、牛津高阶英汉词典等各类中英文词典类似,基本涵盖了全部常用中英文字词句的读音、释义及用法,是语言学习和写作的有利工具。

 

Copyright © 2004-2024 vtrois.com All Rights Reserved
更新时间:2026/4/8 16:25:03