网站首页  词典首页


请输入您要查询的字词:

 

字词 卡拉芬近
类别 中英文字词句释义及详细解析
释义 卡拉芬近

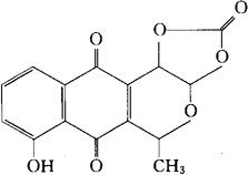
C15H10O7=302.24

CAS-11048-15-0

3,3a,5,11b-四氢-7-羟-5-甲基-2H-二氧戊环并[3,2-b]萘并[[2,3-d]吡喃-2,6,11-三酮。

3,3a,5,11b-Tetrahydro-7-hydroxy-5-methyl-2H-dioxolo]3,2-b]naphtho[2,3-d]pyran-2,6,11-trione.

抗真菌药。

Kalafungin.

INN,NFN,USAN.

随便看

 

离鸟网收录3541549条中英文词条,其功能与新华字典、现代汉语词典、牛津高阶英汉词典等各类中英文词典类似,基本涵盖了全部常用中英文字词句的读音、释义及用法,是语言学习和写作的有利工具。

 

Copyright © 2004-2024 vtrois.com All Rights Reserved
更新时间:2026/4/6 18:39:34