卡方(X2)分布
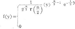
小样本推断中最常用的分布。 英国统计学家卡尔·皮尔生(Karl Pearson)提出。设x服从正态分布N(0,1),又设x1,x2,……,xn为x的一个样本,它们的平方和为 。则 服从参数为n的X2分布,其分布密度函数为:  其他 其中 卡方分布的数学期望为n,方差为2n。 X2分布上100α百分位点 (n)是指满足 =α的点 。对不同的α及n的100α百分位点有X2表可查。该分布与 ,p=n时的r分布相同。 当n很大时 近似服从正态分布 。 X2分布具有可加性,设 , ,且它们相互独立,则 。 X2分布在列联表,方差估计,分布和随机样本参数的假设检验中有著广泛的应用。 |