网站首页  词典首页


请输入您要查询的字词:

 

字词 卡芦莫南钠
类别 中英文字词句释义及详细解析
释义 卡芦莫南钠

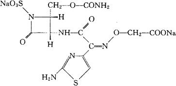
C12H12N6Na2O10S2=510.36

CAS-86832-68-0

CAS-87638-04-8

[[[2-[[2-[[(氨基羰基)氧]甲基]-4-氧代-1-硫代-3-氮杂环丁烷基]氨基]-1-(2-氨基-4-噻唑基)-2-氧代-亚乙基]氨基]氧]醋酸二钠盐,[2S-[2α,3α(Z)]]-.

Acetic acid,[[[2-[[2-[[(aminocarbonyl)oxy]methyl]-4-oxo-1-sulfo-3-azetidinyl]amino]-1-(2-amino-4-thiazoly)-2-oxoethylidene]amino]oxy]-,disodium salt,[2S[2α,3α(Z)]]-.

(Z)-[[[(2-氨基-4-噻唑基)[[(2S,3S)-2-(羟甲基)-4-氧代-1-硫代-3-氮杂环丁烷基]氨基甲酰]亚甲基]氨基]氧]醋酸,氨基甲酸酯二钠盐。

(Z)-[[[(2-Amino-4-thiazolyl)[[(2S,3S)-2-(hydroxymethyl)-4-oxo-1-sulfo-3-azetidinyl]carbamoyl]methylene]amino]oxy]acetic acid,carbamate(ester),disodium salt.

抗生素类药,抗菌药。

Carumonam Sodium,Ro 17-2301/006,AMA 1080(2Na).

INN,BAN,USAN.

随便看

 

离鸟网收录3541549条中英文词条,其功能与新华字典、现代汉语词典、牛津高阶英汉词典等各类中英文词典类似,基本涵盖了全部常用中英文字词句的读音、释义及用法,是语言学习和写作的有利工具。

 

Copyright © 2004-2024 vtrois.com All Rights Reserved
更新时间:2026/4/5 18:26:03