网站首页  词典首页


请输入您要查询的字词:

 

字词 卤可托龙
类别 中英文字词句释义及详细解析
释义 卤可托龙

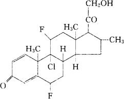
C22H27ClF2O3=412.90

CAS-24320-27-2

9-氯-6α,11β-二氟-21-羟-16α-甲基孕甾-4-二烯-3,20-二酮。

9-Chloro-6α,11β-difluoro-21-hydroxy-16α-methylpregna-4-diene-3,20-dione.

肾上腺皮质激素类药,血管收缩药。

Halocortolone.

INN,USAN.

随便看

 

离鸟网收录3541549条中英文词条,其功能与新华字典、现代汉语词典、牛津高阶英汉词典等各类中英文词典类似,基本涵盖了全部常用中英文字词句的读音、释义及用法,是语言学习和写作的有利工具。

 

Copyright © 2004-2024 vtrois.com All Rights Reserved
更新时间:2026/4/8 18:21:31