网站首页  词典首页


请输入您要查询的字词:

 

字词 印防己毒素[典]
类别 中英文字词句释义及详细解析
释义 印防己毒素[典]

C30H34O13=602.57

CAS-124-87-8

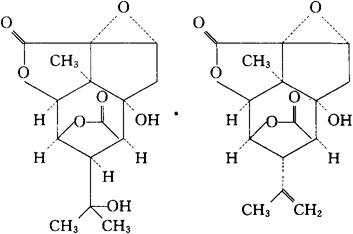
[1aR-(1aα,2aβ,3β,6β,6aβ,8aS*,8bβ*,9S*)]六氢-2a-羟-9-(1-羟甲乙基)-8b-甲基-3,6-亚甲基-8H-1,5,7-三氧杂环戊并[ij]环丙[a]-遨4,8-(3H)-二酮与1aR-(1a,2aβ,3β,6β,6aβ,8aS*,8bβ*,9R*)]六氢-2a羟-8b-甲基-9-(1-甲基乙烯基)-3,6-亚甲基-8H-1,5,7-三氧杂环戊并[ij]环丙[a]遨-4,8-(3H)-二酮(1∶1)的化合物。

[1aR-(1aα,2aβ,3β,6β,6aβ,8aS*,8bβ*,9S*)]-Hexahydro-2a-hydroxy-9-(1-hydroxy-methylethyl)-8b-methyl-3,6-methano-8H-1,5,7-trioxacyclopenta[ij]cycloprop[a]azulene-4,8-(3H)-dione compd with 1aR(1a,2aβ,3β,6β,6aβ,8aS*,8bβ*,9R*)]-hexahydro-2ahydroxy-8b-methyl-9-(1-methylethenyl)-3,6-methano-8H-1,5,7-trioxacyclopenta[ij]cycloprop[a]azulene-4,8-(3H)-dione(1∶1).

中枢神经系统兴奋药,GABA拮抗药。用于中枢性呼吸和循环衰竭,临床用于解救巴比妥类催眠药的中毒。

Picrotoxin,Cocculin.

印防己毒素注射液(典)。

NF,USAN,MI.

随便看

 

离鸟网收录3541549条中英文词条,其功能与新华字典、现代汉语词典、牛津高阶英汉词典等各类中英文词典类似,基本涵盖了全部常用中英文字词句的读音、释义及用法,是语言学习和写作的有利工具。

 

Copyright © 2004-2024 vtrois.com All Rights Reserved
更新时间:2026/4/7 8:24:14