网站首页  词典首页


请输入您要查询的字词:

 

字词 危险系数
类别 中英文字词句释义及详细解析
释义 危险系数

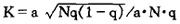
表示超过纯保费的赔偿概率。可通过计算均方差高于或低于纯保费总额(保险赔偿基金)的程度得出。其计算公式为:

式中,a——每件财产的平均保险额,N——保险标的件数,q——损失发生概率。

降低危险系数有三种方法:
❶ 增加保险标的件数。
❷ 提高保费费率。
❸ 增加保险额平均程度。通过增加保险标的件数,降低危险系数,是再保险危险管理的理论基础。

随便看

 

离鸟网收录3541549条中英文词条,其功能与新华字典、现代汉语词典、牛津高阶英汉词典等各类中英文词典类似,基本涵盖了全部常用中英文字词句的读音、释义及用法,是语言学习和写作的有利工具。

 

Copyright © 2004-2024 vtrois.com All Rights Reserved
更新时间:2026/4/7 15:54:54