网站首页  词典首页


请输入您要查询的字词:

 

字词 卵磷脂
类别 中英文字词句释义及详细解析
释义 卵磷脂

又称磷脂酰胆碱。

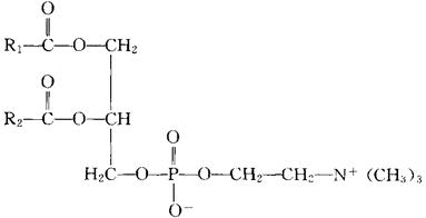
由甘油、脂肪酸(二分子)、磷酸和胆碱失水缩合而成的脂。结构式如下。分子中的脂肪酸链有饱和与不饱和两种,是非极性的疏水尾;磷酸胆碱部分为偶极离子,是极性的亲水头。无色蜡状物,易吸水,易氧化,溶于乙醚和乙醇而不溶于丙酮。

是生物膜的主要成分之一。广泛存在于动、植物的各种组织、器官中,在大豆、脑和卵黄中含量尤多。

在食品、化妆品、肥皂、橡胶及皮革工业中作乳化剂。

随便看

 

离鸟网收录3541549条中英文词条,其功能与新华字典、现代汉语词典、牛津高阶英汉词典等各类中英文词典类似,基本涵盖了全部常用中英文字词句的读音、释义及用法,是语言学习和写作的有利工具。

 

Copyright © 2004-2024 vtrois.com All Rights Reserved
更新时间:2026/4/7 23:59:33