网站首页  词典首页


请输入您要查询的字词:

 

字词 卷筒纸在机重量估算
类别 中英文字词句释义及详细解析
释义 卷筒纸在机重量估算

【说明】 在纸的抄造和再加工过程中,为了核算每班的产量及消耗,需卸纸卷称重交班。这里介绍一种卷筒纸不需停机的在机重量估算法,只要测出卷筒纸页厚度,就可以估算出纸卷重量(不含卷纸辊重量),也可按公式制定“纸页厚度与卷重对照表”,直接查表求得卷重。估算误差一般小于5%,适于估算各种规格和品种的成品纸或加工纸重量。

【公式】

W=K(x2+dx) (1-15-509)

式中 W——纸卷重量(kg)

K——常数,见〔附注〕

x——纸页厚度(cm)

d——纸筒芯内径或卷纸辊外径(cm),如图1-15-69

【附注】 常数K的计算:常数K与纸卷的品种、规格、水分、松紧程度等因素有关,即使是同品种、同规格的纸卷,由于水分或松紧程度不同,K值也不同,实际应用中取其平均值,计算方法如下:

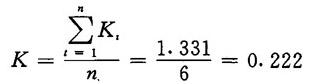
从同类纸卷中,随机抽取n件,分别测量其纸页厚度xt和纸卷重Wt,按下式计算K1和K。

【例】 某厂镀铝纸车间涂布工段,为了测定涂布过程中镀铝原纸卷重量,从库中随机抽样36卷原纸,测量结果如表1-15-45。纸筒内芯直径d=7.5cm,试求纸页厚度为20cm时纸卷的重量。

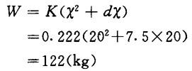
解:由式1-15-510计算K1并附于表1-15-45中。则:

表1-15-45 镀铝纸随机抽样结果及Kt

当纸页厚度为20cm时,则:

随便看

 

离鸟网收录3541549条中英文词条,其功能与新华字典、现代汉语词典、牛津高阶英汉词典等各类中英文词典类似,基本涵盖了全部常用中英文字词句的读音、释义及用法,是语言学习和写作的有利工具。

 

Copyright © 2004-2024 vtrois.com All Rights Reserved
更新时间:2026/4/5 17:16:21