网站首页  词典首页


请输入您要查询的字词:

 

字词 厄密特-费叶插值理论
类别 中英文字词句释义及详细解析
释义 厄密特-费叶插值理论

为一节点系,f(x)为定义在[-1,1]上的实函数。

称满足

Hn(f,xk)=f(xk),,k=1,…,n (1)

的2n-1次代数多项式Hn(f,x)为函数f(x)的厄密特-费叶插值(多项式)(以下简记HF插值)。取雅可比(Jacobi)多项式的零点为节点系,记对应的HF插值多项式为

以第一类和第二类契比晓夫(Chebyshev)多项式Tn(x),Un(x)的零点为节点系的HF插值分别是(f,x)和

此外,对条件(1)进行修改还有拟厄密特-费叶插值和高阶厄密特-费叶插值。

一方面,由于HF插值构造简单,且对不同节点系具有不同的性质;另一方面,由于它与计算有关和在理论上的价值,使得对这类插值的研究成果较多。主要分为以下3个方向:

1.逼近阶的估计。

1916年,费叶(L.Fejér)证明,对于f∈C[-1,1]

这里‖·‖表示在[-1,1]上的一致范数。

以后,波波维奇(T.Popoviciu)等人建立了用连续模估计(2)的逼近阶。

其中较好的结果是鲍亚尼奇(R.Bojanic)于1969年建立的第1个非点态精确逼近阶:

此处和以后,记号“An~Bn”表示存在两常数0<C1<C2使C1A,,≤Bn≤C2An

Hω={f∈C[-1,1];ω(f,t)=0(ω(t))},ω(t)是给定的连续模。

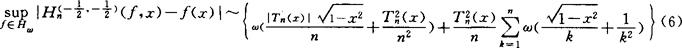
1981年,谢庭藩和哥德诺夫(S.J.Goodenough)等人各自独立地建立了体现(1)的插值性质的点态逼近阶:

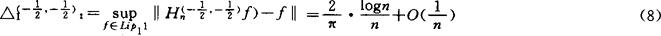
精确的点态阶是什么呢?这是沈燮昌在1983年提出的1个问题。1984年,孙燮华解决了这个问题,建立了下述的点态精确阶:

不难验证(4)与(6)的右边是等价的。因此,谢庭藩给出的估计(4)是精确的。

其实,(6)的第一个点态精确阶是孙燮华对拟HF插值于1983年建立的。沿著这个方向,1984年谢庭藩对建立了点态精确阶,解决了沈燮昌于1983年提出的另一问题。随后,1986年孙燮华对一切-1<α,β≤0建立了的点态精确阶。但是,所有这些结果都是对正的HF插值建立的。

对于非正的HF的插值,比如,对于较简单的关于契比晓夫节点的拟HF插值能否建立形如(6),或者较弱的结果(3)的问题尚未解决。就逼近阶估计这个方向而言,虽然今后的研究热点是对雅可比节点以外的其它各种节点,比如,拉盖尔(Laguerre)节点,厄密特节点、其它正交多项式的零点为节点的HF插值,高阶HF插值建立逼近阶的估计,但是,重要的进展将是对非正的HF插值建立点态的精确阶。

2.逼近阶的渐近展开。1981年,哥德诺夫等人对拟HF插值建立了点态渐近展开式

同年,蒋元林对建立了非点态的渐近式

他的结果(8)被孙燮华改进为点态的渐近式。

同时,首次建立了对Lip1α(0<α<1)类的渐近展开式。

1985年,哥德诺夫对偶数的n建立了非点态的完全的渐近式

此处γ是欧拉(Euler)常数,B2k(k=1,2,…)是贝努里(Bernoulli)数,

1990年,蒋元林又将(9)改进为点态渐近式。对于奇数n,相应的完全展开式是什么呢?这是一个有意义的问题。对于Lip1α(0<α<1)的渐近展开问题可能更困难些,但是,这些问题的解决正是这个方向的有价值的重要进展。

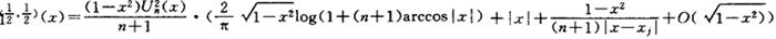
1985年,谢庭藩注意到(7)式中,当x趋向于端点±1和节点xk时,展开式的主项的阶将高于余项。也就是说,(7)式是非一致成立的。于是,谢建立了第1个一致成立的渐近式:

式中xj为最接近x的一个节点。

对于一般的雅可比节点,由于它不能通过三角替换变成[0,π]上的等距节点,所以这类问题要开辟新方法。

谢庭藩问

有怎样的渐近式?

1986年,周信龙先建立叶菲莫夫(Efimov)型渐近展开,然后解决了上述问题中ω(t)=t的情形。对于一般情形,甚至对ω(t)=tσ(0<α<1)情形,问题尚未解决。

同前节的问题一样,所有上述的结果都是对正的HF插值建立的。今后,若能对非正的HF插值建立渐近式将是这个方向上的另一重要成果。

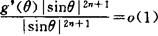
3.饱和问题与逆定理。德伏(R.A.DeVore)曾经提出算了的饱和问题,这个问题,在1973年被沙巴陶斯(J.Szabados)解决。他证明:

此处g(θ)=f(cosθ),是g(θ)的共轭函数。

对于一般Jacobi节点,相应插值的饱和问题较困难。

1985年,周信龙在这方面取得重要进展,解决了当时,的饱和问题:

(i) (10)

(ii)

1987年,他进一步解决了当时相应的饱和问题。此外,周信龙还首选建立了点态饱和定理,即(10)中的阶代之以点态阶,从而建立相应的充要条件。

与饱和问题密切相关的是正逆定理的建立。谢庭藩于1981年建立了如下正逆定理:设ψ(δ)>0(0<δ≤1)是单调增函数,满足

显然,除(11)外,大量的逆定理问题都未解决,还有点态正逆定理、非正的HF插值的饱和与正逆定理也都是今后值得研究的有意义的问题。

。【参考文献】:

1 谢庭藩.数学年刊,1981,2:463~472

2 Goodenough S J,et a1.J Approx.Theory,1981,31:253~260

3 沈燮昌.数学进展,1983,31,253~260

4 孙燮华.高等学校计算数学学报,1983,5:366~373

5 Xie Tingfang Chin.Ann Math,1985,6B;457~464

6 Zhou Xinlong.Approxi Th its Appl,1985,1:17~26

(中国计量学院孙燮华教授撰)

随便看

 

离鸟网收录3541549条中英文词条,其功能与新华字典、现代汉语词典、牛津高阶英汉词典等各类中英文词典类似,基本涵盖了全部常用中英文字词句的读音、释义及用法,是语言学习和写作的有利工具。

 

Copyright © 2004-2024 vtrois.com All Rights Reserved
更新时间:2026/5/26 23:16:36