网站首页  词典首页


请输入您要查询的字词:

 

字词 压光机底辊中高的计算
类别 中英文字词句释义及详细解析
释义 压光机底辊中高的计算

【说明】 压光机的底辊要承受上面全部辊子重量及附加压力,底辊必然产生挠度。为了使底辊产生均匀的线压,弥补挠度,必须在底辊上采用中高。

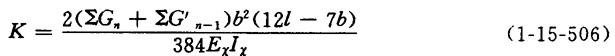
【公式】

式中 K——底辊中高(m)

∑Gn——全部辊筒重力(N)

∑G′n-1——除下辊轴承外所有辊子轴承的总重力(N)

b——辊筒宽度(m)

l——辊筒轴承中心的距离(m)

ExIx——底辊的刚度(N·m2)

Ex——底辊的弹性模量(Pa)

Ix——底辊切面的惯性矩(m4)

随便看

 

离鸟网收录3541549条中英文词条,其功能与新华字典、现代汉语词典、牛津高阶英汉词典等各类中英文词典类似,基本涵盖了全部常用中英文字词句的读音、释义及用法,是语言学习和写作的有利工具。

 

Copyright © 2004-2024 vtrois.com All Rights Reserved
更新时间:2026/4/9 6:39:34