网站首页  词典首页


请输入您要查询的字词:

 

字词 压力损失的叠加
类别 中英文字词句释义及详细解析
释义 压力损失的叠加

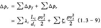
液压系统总是多种液压件和各种管件组合而成,因此一个系统的总压力损失则是将管道上的所有的沿程压力损失和局部压力损失按算术加法求其总和,即

随便看

 

离鸟网收录3541549条中英文词条,其功能与新华字典、现代汉语词典、牛津高阶英汉词典等各类中英文词典类似,基本涵盖了全部常用中英文字词句的读音、释义及用法,是语言学习和写作的有利工具。

 

Copyright © 2004-2024 vtrois.com All Rights Reserved
更新时间:2026/4/6 17:05:29