网站首页  词典首页


请输入您要查询的字词:

 

字词 压区宽度的计算
类别 中英文字词句释义及详细解析
释义 压区宽度的计算

【说明】 压区宽度取决于外加压力、辊面材质的机械特性(硬度、纵向弹性模数、泊松系数等)、辊径和辊间物质的压缩变形特性(主要指毛毯),它又决定了在外加压力下的压区平均压力P,而P正是决定湿压榨脱水效率的主要因素。压区宽度有下列几种计算方法。

1.一般计算法

【公式】

式中 C——压区宽度(m)

q——辊间线压(N/m)

D1、D2——相应地为两个压辊直径(m)

E1、E2——辊体或辊面层(包胶层)的纵向弹性模数(Pa)

μ1、μ2——辊体或辊面层的泊松系数,对于胶层可取μ0.

2.当一个辊筒有包胶层时压区宽度计算

【公式】

式中符号含义及单位同前

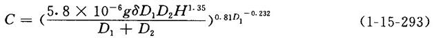
3.李达尔(L·Rydar)的用计算机计算压区宽度公式

【公式】

式中 C——压区宽度(in)

q——辊所受的负荷(Ib/in),即外加线压力

δ——胶层工作厚度(in)

D1——包胶压辊的直径(in)

D2——与包胶辊相接的硬辊直径(in)

H——胶层硬度,以1/8in直径的球测出的普氏硬度(P&J)

【附表】 压榨辊的特征及压区宽度等参数见表1-15-26

表1-15-26 压榨辊的特征和压区宽度(线压300Ib/in)

注:
❶ 1Ib/in=175.187N/m❷ 1Ib/in2=6897.11Pa

随便看

 

离鸟网收录3541549条中英文词条,其功能与新华字典、现代汉语词典、牛津高阶英汉词典等各类中英文词典类似,基本涵盖了全部常用中英文字词句的读音、释义及用法,是语言学习和写作的有利工具。

 

Copyright © 2004-2024 vtrois.com All Rights Reserved
更新时间:2026/4/8 1:42:17