压榨的线压力与偏心距的关系计算
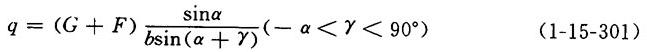
【说明】 双辊压榨的安装形式有两种(如图1-15-35和图1-15-36),其结构见示意图1-15-37,受力分析如图1-15-38。不同的压榨装置,其线压力与偏心距的变化关系是不同的,故“只要偏心距加大,辊间线压力就减少”的说法是错误的。 1.杠杆系统施加给压辊的压力(方向垂直向下)F的计算 【说明】 由图1-15-36和图1-15-37,根据力矩平衡作用原理计算F如下。 【公式】  式中 F——杆杆系统施加给压辊的压力(N) AO——末级杠杆支点前的长度(m) OB——末级杠杆支点后的长度(m) W——杠杆加压系统工作时产生的作用在末级杠杆上A点的作用力 【讨论】 由上式可知,只要杠杆系统确定,F就为一常量。 2.辊间线压力与偏心距的关系计算 【说明】 偏转角γ的改变引起并决定偏心距的大小,为此,在计算中,偏心距可用偏转角γ表示。|γ|增大,偏心距亦增大;反之,|γ|减少使得偏心距减少。 【公式】  式中 q——辊间线压力(N/m) G——由上压辊及其轴承和轴承座产生的重力(N) F——同上 b——压辊工作面宽度(m) α——末级杠杆上OB与铅垂线的夹角(度) γ——两压辊的中心联线与铅垂线的夹角(偏转角)(度),下压辊偏向杠杆OB一侧时为负值;偏向另一侧时为正值 【讨论】 ❶ 只要杠杆系统确定,F为一常量,压榨装置确定后G和b不变,因此设:  ❷ α的变化有三种形式(见图1-15-36),同样,γ的变化也有三种情况,即γ=0°、γ>0°和γ<0°。 ❸ 不论α如何变化,只要α+γ=90°,线压力q就取得该压榨型式下的是小值;不论α如何变化,只要当γ=0°也就是压榨装置无偏心距时,线压力q都等于K。 ❹ 若令偏心距的变化为n,且:  则线压力与偏心距的变化n的关系见表1-15-27。 表1-15-27 线压力q与偏转角γ的关系  |