网站首页  词典首页


请输入您要查询的字词:

 

字词 压榨辊的中高
类别 中英文字词句释义及详细解析
释义 压榨辊的中高

压榨辊的中高是辊筒中部直径与端部直径之差,以厘米计,并用K表示。验算压榨辊的中高,应以生产工艺需要的线压力或与之相应的附加外力为载荷,而不能使用辊筒的许用附加外力[PA]、[PB]、[Pc]。压榨辊的中高,一般分配给下辊,但因需要,有时也可分配给上、下两个辊。

1.两辊中心在同一垂直线上(图11-9-10)

P1=q1b+G1cosr (159)

P2=q2b-G3cosr (160)

Q=(q2-q1)b+G2cosr (161)

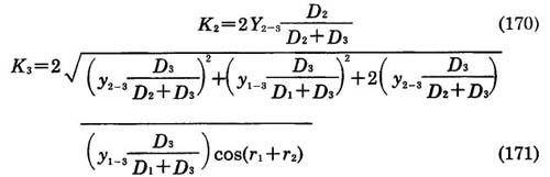
此种压榨系中辊轴承固定,上、下辊沿连心线方向施以附加外力P2和P1。r为三辊连心线与垂直线的夹角。G1、G3各为辊1、辊3带轴承的重力,G2为花岗石中辊2的自重力。上、下辊为普通辊,且线压力q2>q1

Q是中辊所受的载荷。设K1、K2、K3依次为辊1、辊2、辊3在倾斜面上的中高,K为三个辊在斜面上的总中高。略去辊筒重力的分力在垂直于斜面方向上所生挠度的影响。

式中 ∑G=G1+G2+G3(N)

Y1-3——辊1、辊3组工作部分最大挠度的向量和,cm

Y2-3——辊2、辊3组工作部分最大挠度的向量和,cm

K1、K2、K3——辊1、辊2、辊3的中高,cm

G1、G2、G3——辊1、辊2带轴承的重力,N和辊3的自重力,N

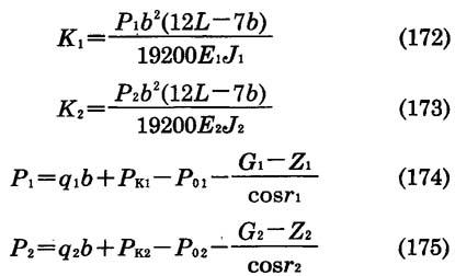
通常使用的下辊3多为花岗石辊,直径为1200~1500mm,刚度很大而挠度极小,故可不计其变形。此时下辊不给中高,且真空辊1、辊2的中高为

式中的PK1、PK2、P01、P02与式(74)或式(70)中的PK、P0算法完全相同,脚注1、2表示真空上辊1和2之意。Z1、Z2是代表辊1、辊2毛毯拉力的合力,而不表示毛毯松、紧边的拉力。图11-9-21用于二个上辊均为真空辊时,应增加如下诸力:垂直向上的毛毯合力Z1、Z2;沿上、下辊连心线并向上的PK1、PK2;与PK1、PK2反向的P01、P02

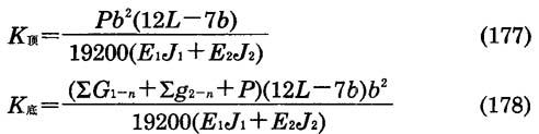
(5)压光机辊的中高

❶ 顶辊没有附加外力P

式中 K——压光机底辊的中高,cm

∑G1-n——各压光辊自重力的总和,N

Σg2-n——除底辊外各压光辊轴承重力的总和,N

J——压光机底辊横断面的惯性矩,cm4

E——压光机底辊的弹性模数,MPa

EJ=E1J1(冷硬层刚度)+E2J2(非冷硬层刚度)

E1=1.4×105(MPa) E2=1.15×105(MPa)

❷ 顶辊有附加外力P

压光辊工作时,由于辊筒间的滑动,带中高的底辊两头,磨损比中间大,久之,底辊中高必然增加,故应定期重磨。但底辊拆装困难,通常将下数第二辊重磨,并赋以较小的中高,以适应底辊中高的增加。为此,有时将按式(176)、式(178)求得的底辊中高,以其85%~90%留给它自己,而将余下的15%~10%分配给下数第二辊。

(6)毛毯压榨辊的中高

毛毯压榨辊中高的计算方法与两辊压榨相同。但最常用的还是两辊在同一垂直线上者,故可用式(136)求K,而且常令下辊设中高。所以K即为毛毯下压辊的中高K

随便看

 

离鸟网收录3541549条中英文词条,其功能与新华字典、现代汉语词典、牛津高阶英汉词典等各类中英文词典类似,基本涵盖了全部常用中英文字词句的读音、释义及用法,是语言学习和写作的有利工具。

 

Copyright © 2004-2024 vtrois.com All Rights Reserved
更新时间:2026/5/27 0:59:13