网站首页  词典首页


请输入您要查询的字词:

 

字词 压缩机的容积系数计算
类别 中英文字词句释义及详细解析
释义 压缩机的容积系数计算

[说明]容积系数表示吸气量与活塞扫过的容积之比。

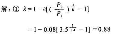
式中 λ——容积系数

ε——余隙系数,表示余除容积与活塞扫过的容积之比

K——绝热指数

P1、P2——进、出口压力(Pa)

[例]某空压机其余隙系数为0.08,绝热指数为1.4。
❶ 当压缩比为3.5时,求λ;
❷ 其最大压缩比是多少?

❷ 当λ=0时,压缩比为最大,即:

随便看

 

离鸟网收录3541549条中英文词条,其功能与新华字典、现代汉语词典、牛津高阶英汉词典等各类中英文词典类似,基本涵盖了全部常用中英文字词句的读音、释义及用法,是语言学习和写作的有利工具。

 

Copyright © 2004-2024 vtrois.com All Rights Reserved
更新时间:2026/5/25 16:18:30