压缩机的轴功率计算
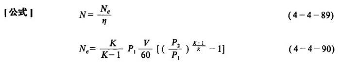
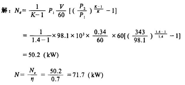
[说明]压缩机的轴功率等于按可逆绝热压缩计算的理想功率与绝热效率的比值。  式中 N——轴功率(W) η——绝热效率,对于往复压缩机η取0.7~0.9 Ne——按可逆绝热压缩计算的理想功率(W) V——生产能力(m3/min),折算为进口温度与压力下的体积 P1、P2——进、出口压力(Pa) K——绝热指数 [例]某空压机的送气量(按吸入状态计)为0.34m3/s,吸气压强为98.1kPa,排气压强为343kPa(均为绝热),设绝热总效率为0.7,求压缩机的轴功率。已知K=1.4,η=0.7。  |