网站首页  词典首页


请输入您要查询的字词:

 

字词 压辊水平负荷作用于机架上的力的计算
类别 中英文字词句释义及详细解析
释义 压辊水平负荷作用于机架上的力的计算

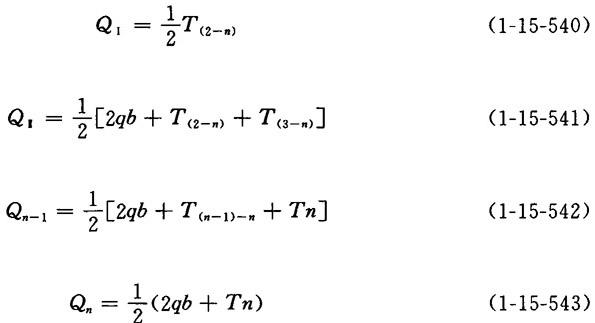
【说明】 参见图1-15-72。由圆周力及纸幅张力所导致的负荷在各个水平面上作用于机架。如果不计刮刀应力时,则可得在一个机架上的负荷的计算如下。

【公式】

式中 Qn——不计刮刀压力,则圆周力和纸幅张力所产生的负荷在各个水平面上作用于机架上的力(n代表辊筒数目)(N)

2qb——均布的纸幅张力(N)

T(2-n)——相应于转动第二个辊筒及以上的全部辊筒所需动力的圆周力(N)

T(3-n)——相应于转动第三个辊筒及以上的全部辊筒所需动力的圆周力(N)

随便看

 

离鸟网收录3541549条中英文词条,其功能与新华字典、现代汉语词典、牛津高阶英汉词典等各类中英文词典类似,基本涵盖了全部常用中英文字词句的读音、释义及用法,是语言学习和写作的有利工具。

 

Copyright © 2004-2024 vtrois.com All Rights Reserved
更新时间:2026/5/25 15:54:23