网站首页  词典首页


请输入您要查询的字词:

 

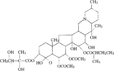
字词 原藜芦碱 B
类别 中英文字词句释义及详细解析
释义 原藜芦碱 B

C41H63NO15=809.92

4α,9-环氧瑟瓦烷-3′4,6α,,7α 14,15α,16β,20-辛醇6,7-二醋酸酯3(S)-(2-3-二羟-2-甲基丁酸酯)15(R)-(2-甲基丁酸酯)。

4α,9-Epoxycevane-3′,4,6α,7α 14,15α,16β,20-octol-6,7-diacetate-3(S)-(2,3-dihydroxy-2-methylbutanoate)15(R)-(2-methylbutanoate).

抗高血压药。

Protoveratrine B,Neoprotoveratrine,Veratetrine.

USAN,MI.

随便看

 

离鸟网收录3541549条中英文词条,其功能与新华字典、现代汉语词典、牛津高阶英汉词典等各类中英文词典类似,基本涵盖了全部常用中英文字词句的读音、释义及用法,是语言学习和写作的有利工具。

 

Copyright © 2004-2024 vtrois.com All Rights Reserved
更新时间:2026/4/6 20:05:58