网站首页  词典首页


请输入您要查询的字词:

 

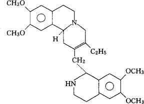
字词 去氢依米丁
类别 中英文字词句释义及详细解析
释义 去氢依米丁

C29H38N2O4=478.63

CAS-4914-30-1

3-乙基-9,10-二甲氧-1,6,7,11b-四氢-2-[(1,2,3,4-四氢-6,7-二甲氧-1-异喹啉基)甲基]-4H-苯并[a]喹嗪。

3-Ethyl-9,10-dimethoxy-1,6,7,11b-tetrahydro-2-[(1,2,3,4-tetrahydro-6,7-dimethoxy-1-isoquinolyl)methyl]-4H-benzo[a]quinolizine.

抗阿米巴药。

Dehydroemetine,Ro 1-9334/19.

INN,BAN,DCF,USAN,MI.

随便看

 

离鸟网收录3541549条中英文词条,其功能与新华字典、现代汉语词典、牛津高阶英汉词典等各类中英文词典类似,基本涵盖了全部常用中英文字词句的读音、释义及用法,是语言学习和写作的有利工具。

 

Copyright © 2004-2024 vtrois.com All Rights Reserved
更新时间:2026/5/25 12:13:14