网站首页  词典首页


请输入您要查询的字词:

 

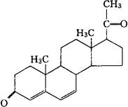
字词 去氢黄体酮
类别 中英文字词句释义及详细解析
释义 去氢黄体酮

C21H28O2=312.45

CAS-152-62-5

9β,10α-孕甾-4,6-二烯-3,20-二酮。

9β,10α-Pregna-4,6-diene-3,20-dione.

孕激素类药。

去氢孕酮,地屈孕酮。

Gynorest,Retrone,Dydrogesterone.

INN,BAN,BP,DCF,DCIT,JAN,NF,NFN,USAN,USP,MI.

随便看

 

离鸟网收录3541549条中英文词条,其功能与新华字典、现代汉语词典、牛津高阶英汉词典等各类中英文词典类似,基本涵盖了全部常用中英文字词句的读音、释义及用法,是语言学习和写作的有利工具。

 

Copyright © 2004-2024 vtrois.com All Rights Reserved
更新时间:2026/5/25 8:40:22