网站首页  词典首页


请输入您要查询的字词:

 

字词 双嘧达莫[中]
类别 中英文字词句释义及详细解析
释义 双嘧达莫[中]

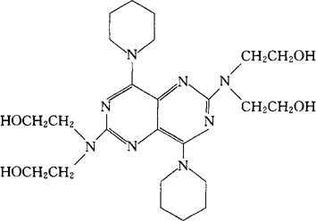
C24H40N8O4=504.63

CAS-58-32-2

2,2′,2″,2′′′-[(4,8-二-1-哌啶基嘧啶并[5,4-d]嘧啶-2,6-二基)二次氮基]四乙醇。

2,2′,2″,2′′′-[(4,8-Dipiperidinopyrimido[5,4-d]pyrimidine-2,6-diyl)dinitrilo]tetraethanol.

抗心绞痛药。用于预防心绞痛、冠状血管机能不全及心肌梗塞、冠心病等。

亦可预防血栓的形成。

联嘧啶氨醇,双嘧哌胺醇,骈嘧啶氨醇,哌醇啶,潘生丁。

Persantine,Dipyridamole,Anginal,Cardoxin.潘生丁片。

INN,BAN,DCF,GDP,NFN,USAN,MI.

随便看

 

离鸟网收录3541549条中英文词条,其功能与新华字典、现代汉语词典、牛津高阶英汉词典等各类中英文词典类似,基本涵盖了全部常用中英文字词句的读音、释义及用法,是语言学习和写作的有利工具。

 

Copyright © 2004-2024 vtrois.com All Rights Reserved
更新时间:2026/4/7 18:03:37