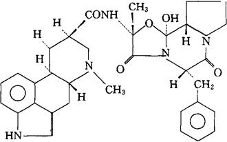
双氢麦角碱
C33H37N5O5=583.67 CAS-511-12-6 9,10-二氢-12′-羟-2′-甲基-5′-(苯基甲基)麦角曼-3′,6′,18-三酮。 9,10-Dihydro-12′-hydroxy-2′-methyl-5′-(phenylmethyl)ergotoman-3′,6′,18-trione. α-型抗肾上腺药。抑制血管运动中枢,降低血管运动紧张度缓解脑血管痉挛,并使血压下降。用于治疗偏头痛、急性发作、血管性头痛、肢端动脉痉挛、冠脉痉挛等。 Dihydroergotamine,Dihydergoy,Dirgotarl,Ergotex. 氢化麦角胺,氢麦角胺。 INN,BAN,BP,DCF,DCIT,GDP,USAN,USP.  |