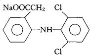
双氯灭痛[中]
C14H10Cl2NNaO2=318.13 CAS-15307-79-6 2-(2,6-二氯苯胺基)苯乙酸钠。 2-(2,6-Dichloroanilino)phenylacetate sodium. 消炎镇痛药。用于类风湿性关节炎、神经炎、红斑狼疮及手术后疼痛。 双氯芬钠,双氯芬酚钠。 Diclofenac Sodium,Vo[taren,Sodium Diclofenamate. 双氯灭痛片,双氯灭痛栓,双氯灭痛注射液。 INN & BAN(Diclofenac),JAN,USAN,MI.  |