网站首页  词典首页


请输入您要查询的字词:

 

字词 双氯西林
类别 中英文字词句释义及详细解析
释义 双氯西林

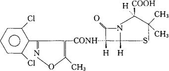
C19H17Cl2N3O5S=470.33

CAS-3116-76-5

[2S-(2α,5α,6β)]-6-[[[(3-(2,6-二氯苯基)-5-甲基-4-异噁唑基]羰基]氨基]-3,3-二甲基-7-氧代-4-硫杂-1-氮杂联环[3.2.0]庚烷-2-羧酸。

4-Thia-1-azabicyclo[3.2.0]heptane-2-carboxylic acid,6-[[[3-(2,6-dichlorophenyl)-5-methyl-4-isoxazolyl]carbonyl]amino]-3,3-dimethyl-7-oxo,[2S(2α,5α,6β)].

6-[3-(2,6-二氯苯基)-5-甲基-4-异噁唑羧酰胺基]-3,3-二甲基-7-氧代-4-硫杂-1-氮杂联环[3,2,0]-庚烷-2-羧酸。

6-[3-(2,6-Dichlorophenyl)-5-methyl-4-isoxazolecarboxamido]-3,3-dimethyl-7-oxo-4-thia-1-azabicyclo[3.2.0]heptane-2-carboxylic acid.

抗生素类药。

双氯青霉素。

Dicloxaxillin,BRL-1702,R-13423.

INN,BAN,USAN.

随便看

 

离鸟网收录3541549条中英文词条,其功能与新华字典、现代汉语词典、牛津高阶英汉词典等各类中英文词典类似,基本涵盖了全部常用中英文字词句的读音、释义及用法,是语言学习和写作的有利工具。

 

Copyright © 2004-2024 vtrois.com All Rights Reserved
更新时间:2026/4/7 8:16:01