网站首页  词典首页


请输入您要查询的字词:

 

字词 双羟萘酸匹氨西林
类别 中英文字词句释义及详细解析
释义 双羟萘酸匹氨西林

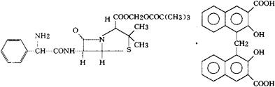
(C22H29N3O6S)2·C23H16O6=1315.47

CAS-39030-72-3

CAS-59549-62-1(replaced)

[2S-[2α,5α,6β(S*)]]-6-[(氨基苯乙酰)氨基]-3,3-二甲基-7-氧代-4-硫杂-1-氮杂双环[3.2.0]庚烷-2-羧酸,(2,2-二甲基-1-氧代丙氧)甲酯,4,4′-亚甲基双[3-羟基-2-萘羧酸酯](2∶1)。

[2S-[2伪, 5伪, 6尾 (S- )]>6-[( Aminophenylacetyl ) amino]-3.3-dimethyl-7-oxo-4-thia-l-azabicyclo[3. 2. 0] heptane-2-carboxylic acid, (2, 2-dimethyl-l-oxo-propoxy ) methyl ester 4, 4' -methylenebis [3-hydro-xy-2-naphthalenecarboxylate] (2' 1).

羟甲基D-(-)-6-(2-氨基-2-苯基乙酰胺基)-3,3-二甲基-7-氧代-4-硫杂-1-氮杂双环[3.2.0]庚烷-2-羧酸新戊酸酯与4,4′-亚甲基双[3-羟-2-萘甲酸](2∶1)的化合物。

Hydroxymethyl D-(-)-6-(2-amino-2-phenylacetamido)-3,3-dimethyl-7-oxo-4-thia-1-azabicyclo[3.2.0]heptane-2-carboxylate pivalate(ester)compound with 4,4′-methylenebis[3-hydro xy-2-naphthoic acid](2∶1).

抗生素类药。

恩波酸匹氨西林。

Pivampicllin Pamoate,Pivampicillin Embonate.

USAN.

随便看

 

离鸟网收录3541549条中英文词条,其功能与新华字典、现代汉语词典、牛津高阶英汉词典等各类中英文词典类似,基本涵盖了全部常用中英文字词句的读音、释义及用法,是语言学习和写作的有利工具。

 

Copyright © 2004-2024 vtrois.com All Rights Reserved
更新时间:2026/4/5 16:07:21