网站首页  词典首页


请输入您要查询的字词:

 

字词 双羟萘酸环氯胍
类别 中英文字词句释义及详细解析
释义 双羟萘酸环氯胍

(C11H14ClN5)2·C23H16O6=891.81

CAS-609-78-9

CAS-516-21-2(cycloguanil)

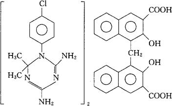
4,4′-亚甲基双(3-羟基-2-萘羧酸)与1-(4-氯苯基)-1,6-二氢-6,6-二甲基-1,3,5-三嗪-2,4-二胺(1∶2)。

4,4′-Methylenebis(3-hydroxy-compd.with 1-(4-chlorophenyl)-1,6-dihydro-6,6-dimethyl-1,3,5-triazine-2,4-diamine(1∶2).

4,6-二氨基-1-(对-氯苯基)-1,2-二氢-2,2-二甲基-均-三嗪与4,4′-亚甲基双(3-羟-2-萘甲酸)。

4,6-Diamino-1-(p-chlorophenyl)-1,2-dihydro-2,2-dimethyl-s-triazine compound(2∶1)with 4,4′-methylenebis(3-hydroxy-2-naphthoic acid).

抗疟药。

思波酸环氯胍。

Cycloguanil Pamoate,CI-501,CN-14,329-23A,PAM-MR-807-23a,NSC-77830,Cycloguanil Embonate,Triazine Pamoate,Camolar.

INN & BAN(Cycloguanil Embonate),USAN.

随便看

 

离鸟网收录3541549条中英文词条,其功能与新华字典、现代汉语词典、牛津高阶英汉词典等各类中英文词典类似,基本涵盖了全部常用中英文字词句的读音、释义及用法,是语言学习和写作的有利工具。

 

Copyright © 2004-2024 vtrois.com All Rights Reserved
更新时间:2026/4/5 14:44:15