网站首页  词典首页


请输入您要查询的字词:

 

字词 双螺杆挤出机的挤出量
类别 中英文字词句释义及详细解析
释义 双螺杆挤出机的挤出量

双螺杆挤出机的挤出量,约为螺杆直径及速度相同的单螺杆机挤出量的三倍。正常工作时,螺杆速度较小于单螺杆挤出机。

最大理论挤出量,可由挤出作用及摩擦流动相加而得出。因而

挤出作用

及 摩擦流动QF=F(0.75π2D2NhsinΦCosΦ)

式中:F=物料与机筒之间的摩擦系数(0~1)。

另外,同向或反向旋转的双螺杆挤出机的挤出量,可由下式计算之

Q=2mVN(厘米2/秒)

式中:m=螺纹数

V=一螺纹的容积(厘米3)

实际上,由于计量加料所产生的限制,很少达到最大挤出量。

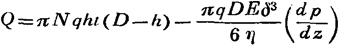
费希尔(Fisher)提出了下列双螺杆挤出机挤出量的方程式:

式中:q=因啮合而露出的螺纹节线的部分;

随便看

 

离鸟网收录3541549条中英文词条,其功能与新华字典、现代汉语词典、牛津高阶英汉词典等各类中英文词典类似,基本涵盖了全部常用中英文字词句的读音、释义及用法,是语言学习和写作的有利工具。

 

Copyright © 2004-2024 vtrois.com All Rights Reserved
更新时间:2026/4/7 3:48:25