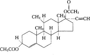
双醋甲诺醇
C25H34O4=398.54 CAS-23163-51-1 CAS-23163-42-0(methynodiol) (3β,11β,17α)-11-甲基-19-去甲孕甾-4-烯-20-炔-3,17-二醇,二醋酸酯。 (3β,11β,17α)-11-Methyl-19-norpregn-4-en-20-yne3,17-diol,-diacetate. 11β-甲基-19-去甲-17α-孕甾-4-烯-20-炔-3β,17-二醇二醋酸酯。 11β-Methyl-19-nor-17α-pregn-4-en-20-yne-3β,17-diol diacetate. 孕激素药。 双醋甲异炔诺醇。 Methynodiol Diacetate,SC-19198,Metynodiol Diacetate. INN(Metynodiol),USAN. 
|