网站首页  词典首页


请输入您要查询的字词:

 

字词 反卡尼
类别 中英文字词句释义及详细解析
释义 反卡尼

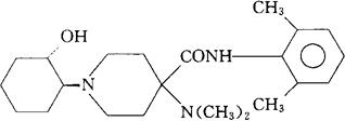
C22H35N3O2=373.54

CAS-88296-62-2

反式-(±)-4-(二甲氨基)-N-(2,6-二甲基苯基)-1-(2-羟环己基)-4-哌啶甲酰胺。

4-Piperidinecarboxamide,4-(dimethylamino)-N-(2,6-dimethylphenyl)-1-(2-hydroxycyclohexyl)-,trans(±)-.

(±)-反式-4-(二甲氨基)-1-(2-羟环己基)-2′,6′-异哌啶二甲基苯甲酰胺。

(±)-trans-4-(Dimethylamino)-1-(2-hydroxycyclohexyl)-2′,6′-isonipectoxylidide.

抗心律失常药,心脏抑制药。

反式司卡尼。

Transcainide,R 54,718.

INN,USAN.

随便看

 

离鸟网收录3541549条中英文词条,其功能与新华字典、现代汉语词典、牛津高阶英汉词典等各类中英文词典类似,基本涵盖了全部常用中英文字词句的读音、释义及用法,是语言学习和写作的有利工具。

 

Copyright © 2004-2024 vtrois.com All Rights Reserved
更新时间:2026/4/7 14:14:17