网站首页  词典首页


请输入您要查询的字词:

 

字词 变传动比转动机构
类别 中英文字词句释义及详细解析
释义 变传动比转动机构

1.2.1 有级变速传动机构

例5.2-15 汽车变速箱

图示汽车变速箱输入轴Ⅰ与发动机相连,在轴Ⅰ和输出轴Ⅳ间利用轮系搭配不同齿数的齿轮。当用操纵杆分别移动轴Ⅳ的齿轮4和6时,即可使输出轴Ⅳ获得四种不同的转速:第一种,齿轮离合器4和B啮合,轴Ⅰ和Ⅳ连成一体,汽车以最高速行驶;第二种,A与B脱开,使轮1和2以及轮3和4啮合,输出轴减速,且与输入轴同向转动,汽车以中速行驶;第三种,A与B脱开,轮1和2以及轮5和6啮合,输出轴减速,且与输入轴同向转动,汽车以低速行驶;第四种,A与B脱开,轮1和2、轮7和8以及轮8和6相啮合,输出轴减速,且与输入轴反向转动,汽车以最低速倒车。

例5.2—16 单齿轮滑移多级变速机构

花键轴Ⅰ装有一可滑动的直齿轮A,它可与轴Ⅱ上任一等高齿锥齿轮B啮合。这些锥齿轮的齿数按等差级数变化。连接各锥齿轮的销子,如图所示,必须使所有齿轮均有一齿槽保持成直线。每片齿轮的一半齿相对另一半齿沿轴向错过一定距离,使直齿轮A能迅速和原来啮合的齿轮脱开,并滑向另一片锥齿轮。这种机构可在运转中完成变速,变速级数多而齿轮数目较少,结构简单、紧凑,刚性好,但缺点是齿不沿全齿宽啮合,磨损不均匀。

设锥齿轮片数为m,输出轴转速分别为n1.n……、nm,公差数为a,则

nm=n1+(m-1)a

如轴Ⅱ主动,转速为nⅡ,则各锥齿轮齿数为

如轴Ⅰ主动,转速为。则各锥齿轮齿数为

以上式中i=1、2……m。

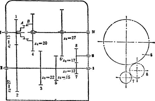
例5.2-17 圆周布置的齿轮变速机构

图a)所示轴Ⅱ和Ⅷ均装有相同齿数的大、小齿轮,各轴间均以小齿轮带动大齿轮转动,但轮1与轮6不啮合。齿轮的轴向布置见图b),运动由轴Ⅰ输入,轴Ⅸ输出。若转动手柄5使惰轮3分别与轴Ⅰ~Ⅷ的各小齿轮啮合,则从动轴Ⅸ可得到八档减速运动,单数档时与双数档时的转向相反。欲使转向恒定,齿轮需按图c)方式布置,

这种齿轮布置方式适用于轴向尺寸较小的场合。

例5.2-18 双电机行星变速机构

机构由电机Ⅰ Ⅱ带动,由与行星架X相连的齿轮5输出。其中构件4以齿数ZA与齿数为Z3的齿轮3外啮合,以ZB与齿数为Zc的齿轮C内啮合,通过控制制动轮D、E,可使行星架得到如下四种速度:

❶  电机Ⅱ被制动时,行星架的转速为

式中为电机Ⅱ制动时A轮(电机Ⅰ)的转速;

, 为电机Ⅱ制动时的传动比。

❷  电机Ⅰ被制动时,行星架的转速为

式中 ,为电机Ⅰ被制动时B轮的转速,其中nⅡ为电机Ⅱ的转速,,为电机Ⅰ被制动时B轮与行星架X间的传动比。

❸  电机Ⅰ、Ⅱ皆运转,A、B轮以同方向旋转时,行星架的转速为

❹  电机Ⅰ、Ⅱ皆运转,A、B轮以反方向旋转时,行星架的转速为

这种机构广泛用于小型连轧机、铸造吊车和氧气顶吹转炉的倾翻机构等。如果Ⅱ采用较小功率的直流电机,可实现以小功率控制大功率的无级变速。

例5.2-19 自行车变速轴

三速变速轴结构及变速原理如图示,采用的是2K-H负号机构。A为大轮盘,B为飞轮(即小链轮),速度转换通过拉动变速拉链7来实现。

Ⅰ速(增速,图示位置)时,后飞轮B与四爪5固连,四爪5的四个爪嵌入十字拨块4相应的沟槽中,十字拨块4嵌入行星齿轮座6内(相当于行星齿轮机构中的系杆)。当脚蹬向前转动时,四爪5便转动十字拨块4,带动行星齿轮座6,行星齿轮2作行星运动,并驱动中心内齿轮3,通过装在3上的千斤Ⅱ推动车轮前进。

Ⅱ速(常速)时,通过手揿拨把将变速拉链7向右拉动,使十字拨块向右移动,并与行星齿轮座脱开而与中心内齿轮3啮合。此时脚蹬向前转动,就将运动直接传给中心内齿轮3,装在其上的千斤Ⅱ便推动车轮前进。与此同时,由于中心内齿轮3的运动仍会带动行星齿轮作行星运动,且将运动通过行星齿轮座传给千斤Ⅰ,但千斤Ⅰ的速度小于千斤Ⅱ,故千斤Ⅰ只能在棘轮上打滑。

Ⅲ速(减速)时,变速拉链被继续向右拉动,这时十字拨块和千斤Ⅱ位于垂直于轴线的同一平面内,十字拨块转动时碰撞千斤Ⅱ的尾部凸起(参看图A-A剖面),将千斤Ⅱ与棘轮脱开。此时脚蹬向前转动,千斤Ⅱ不起作用,而由十字拨块将运动传给中心内齿轮,并使行星齿轮作行星运动,再通过行星齿轮座将运动传给千斤Ⅰ推动车轮向前行驶。

例5.2-20 汽车行星变速装置

该装置由三个简单的2K-H行星齿轮机构通过比较复杂的方式联接而成。当其与图中的带式制动器B1、B2、B3、B1和锥面离合器C配合使用时,可获得五种不同的速度:第一档,B1被制动,内齿轮M、K、系杆H2以及中心轮J都和机架固定,这时除由M、G、H3构成的2K-H机构外,其余三组行星齿轮机构均处于空转状态;第二档,B2被制动,使内齿轮L和机架固定,这时由构件F、L、H2和构件G、M、H3构成的两组2K-H机构参与运动和功率的传递,其余两组2K-H机构处于空转状态;第三档,B3被刹住,中心轮E与机架固定,这时由构件E、K、H1和F、L、H2以及G、M、H3分别组成的三组2K-H机构参与运动和功率的传递;第四档,锥面离合器C结合,中心轮E和输入轴Ⅰ的F、G成为一体,这时除最后的行星齿轮机构作空转外,前面的三个都是锁住的,因此各齿轮之间不产生任何相对运动,轴Ⅰ与轴Ⅱ也被锁成一体而成为直接传动;倒档,Br被制动,这时内齿轮N与机架固定,参加运动和功率传递的为所剩下的G、M、H3和JN、H4所组成的两个行星齿轮机构。

这种结构具有结构紧凑、效率高以及能够实现差动等特点。但设计与制造要求有较高的精度和优良的装配性能,以及各行星轮承载应均匀。

1.2.2 无级变速传动机构

例5.2-21 钢球外锥轮式无级变速机构

这种机构由主动轴1通过加压盘2经钢球带动摩擦盘3同速转动,再经过一组钢球5(3~8颗)驱动从动摩擦盘7和输出轴9。调速是通过蜗杆、带有槽凸轮的蜗轮(图中未示出)使钢球5的轴4转动a角来实现的。主、从动轴上的加压机构能自动施加与载荷成正比的压紧力,使摩擦盘与传动钢球5相互压紧,确保在没有滑动的情况下传递动力。其传动比为

一般,传动比i,=1/3~3,变速范围,功率N≤0.2~11kW,效率η=1/8~0.9。其特点为体积小,结构紧凑,可增速或减速,但制造精度要求较高。输出传递动力特性基本上为恒功率。

例5.2-22 具有行星齿轮机构的齿链式无级变速传动装置

运动和动力由电机(额定功率N=2.2kW,额定转速n=1430r/min)经过定轴齿轮Ⅰ、Ⅱ减速后,驱动主动链盘PI,同时也驱动另一端的定轴齿轮Ⅲ、Ⅳ(齿轮V是惰轮),于是行星齿轮机构的中心轮1开始转动;主动链盘的运动经齿链L增速或减速后带动被动链盘PⅡ转动,并经定轴齿轮Ⅵ、Ⅶ驱动行星齿轮机构的中心轮3。差动机构的这两项输入运动,经系杆H输出。在齿链式无级变速装置中加入差动机构,可扩大变速范围。例如,未加差动机构的齿链式无级变速机构的变速范围为4.54,而加入差动机构后,则可在329到0r/min的范围内变化。此外,若将机构中有关齿轮的齿数作适当的改变,还可在电机不改变转动方向的前提下,实现输出轴的正、反转和零转。

例5.2-23 连杆式脉动无级变速机构

这种机构由连杆机构与单向超越离合器组成。通过改变连杆机构中某一构件的长度。使摇杆(即超越离合器的外环)得到不同的摆角,以达到无级变速的目的。

滑动曲柄AB的曲柄销B,可以改变曲柄长度。曲柄每转一周,带动摇杆CD摆动相应的角度。改变AB的长度,摇杆CD的摆角作相应改变。当采用一个曲柄摇杆机构带动一个单向超越离合器时,其输出为间歇脉动回转,输出极不平稳。因此,为减小脉动不均匀性,通常采用多相(3~5相)并列,由数个曲柄-单向超越离合器交替重叠带动一个输出轴,以提高输出的均匀性。这种机构简单、可靠,变速性能稳定,停止和运行时均可调速。适用于中、小功率(约10kW以下),中、低速(40~1000r/min)的减速、变速,以及对输出轴旋转均匀性要求不严的场合。

例5.2-24 液力变速机构

主动轴1带动泵轮4旋转,泵轮叶片搅动变扭器内的工作液推动输出涡轮3上的叶片,由涡轮输出扭矩。若以泵轮输入扭矩与转速为常数,则涡轮输出扭矩与其转速成反比,涡轮转速愈高,输出扭矩愈小。构件2、5为导向轮,6为超越离合器。

液力变速机构常与行星变速器串联使用也称液力变扭器,如汽车自动变速机构。除图所示的四元件式外,还有三或五元件式。其结构简单,效率高,且工作可靠,无冲击。

随便看

 

离鸟网收录3541549条中英文词条,其功能与新华字典、现代汉语词典、牛津高阶英汉词典等各类中英文词典类似,基本涵盖了全部常用中英文字词句的读音、释义及用法,是语言学习和写作的有利工具。

 

Copyright © 2004-2024 vtrois.com All Rights Reserved
更新时间:2026/5/26 18:04:02